2022年10月自考線性代數(經管類)試題及答案
2023年4月自考備考已經開始,自考歷年試題對考生來說是十分寶貴的資料,考前每道歷年試題至少要做1-2遍才會事半功倍。自考365網給大家整理了2022年10月自考《線性代數(經管類)》試題及答案,一起來試試吧!
掃碼入群>>獲取自考公共課試題及答案

2022年10月高等教育自學考試全國統一命題考試線性代數(經管類)試題及答案
(課程代碼 04184)
說明:在本卷中,AT表示矩陣A的轉置矩陣,A*表示矩陣A的伴隨矩陣,E是單位矩陣,|A|表示方陣A的行列式,r(A)表示矩陣A的秩。
一、單項選擇題:本大題共5小題,每小題2分,共10分。在每小題列出的備選項中只有一項是最符合題目要求的,請將其選出。
1.已知3階行列式D第1行的元素依次為1,2,-1,它們的余子式依次為2,-2,1,則D=
2.設A為3階矩陣,P=
,則用Р右乘A,相當于將A
3.向量組α1=( 1,1,0 )T , α2=( 3,0,-9 )T ,α3=(1,2,3)T,α4=(1,-1,-6)T的秩是
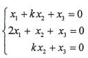
4.設線性方程組
無解,則數k =
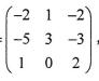
5.設矩陣A=
,則二次型f(x1,x2,x3)=xTAx的規范形為
二、填空題:本大題共10小題,每小題2分,共20分。
8.設A為3階可逆矩陣,且|A|=2,則|-A*|=________
9.若矩陣A中有一個2階子式不為零,且所有3階子式均為零,則r(A)=________
10.已知向量組α1=(1,k ,-3 )T,α2=(3,6,-9)T線性相關,則數k =________
11.已知R2中的兩組基:α1=(0,1)T,α2=(1,0)T和β1=(3,1)T,β2=(4,2)T,若矩陣Р滿足(β1,β2)=(α1,α2)P,則P=________
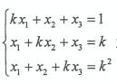
12.設齊次線性方程組
有非零解,則數k應滿足的條件是________
13.設A為n階可逆矩陣,且滿足|2A-E|=0,則A-1必有一個特征值為________
14.設3階矩陣A的特征值為1,-1,2,則|A2+2E|=________
15.若二次型f(x1,x2,x3)=x12+ax22+(a-2)x32+4x1x2正定,則數α應滿足的條件是________
三、計算題:本大題共7小題,每小題9分,共63分。
16.已知行列式D=
,Aij為元素aij的代數余子式,求A31-2A32+A33.
18.已知A=
,B=
.(1)求A-1;(2)解矩陣方程AX = B.
20.設非齊次線性方程組
(其中a,b,c不全為零的常數),當a,b,c滿足什么條件時,方程組有無窮多解?并求其通解(要求用它的一個特解和導出組的基礎解系表示).
22.求正交變換x=Py,將二次型f(x1,x2,x3)=x12+3x22+3x32-4x2x3化為標準型.
四、證明題:本題7分。
23.設向量組α1,α2,α3,α4線性無關,證明:向量組α1+c1α4,α2+c2α4,α3+c3α4線性無關(其中c1,c2,c3是任意常數).
自考365提供從報名到畢業一站式服務!【點擊咨詢>> 】
關注添加
掃碼加入備考交流群
與更多考生一起交流學習經驗
備戰考試,獲取試題及資料
掃碼下載APP
海量歷年試題、備考資料
免費下載領取
掃碼進入微信小程序
每日練題鞏固、考前模擬實戰
免費體驗自考365海量試題


=-2,則
=________
=________
,P=
,求A2.
,判定A是否可以相似對角化?并說明理由.