2023年10月湖南自考課程安排及教材目錄
各市州教育考試院,各主考學校:
按照教育部教育考試院《關于2023年高等教育自學考試全國統考課程安排有關事項的通知》(教考院函〔2022〕90號)要求,結合我省實際情況,現將2023年10月全省高等教育自學考試課程安排及教材目錄印發給你們,并就有關事項通知如下:
一、考試時間安排
二、考試課程安排及教材目錄
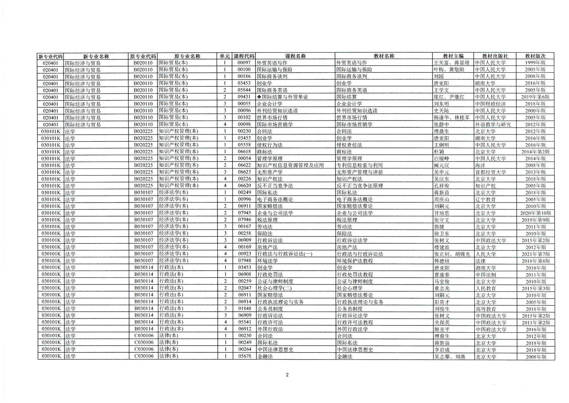
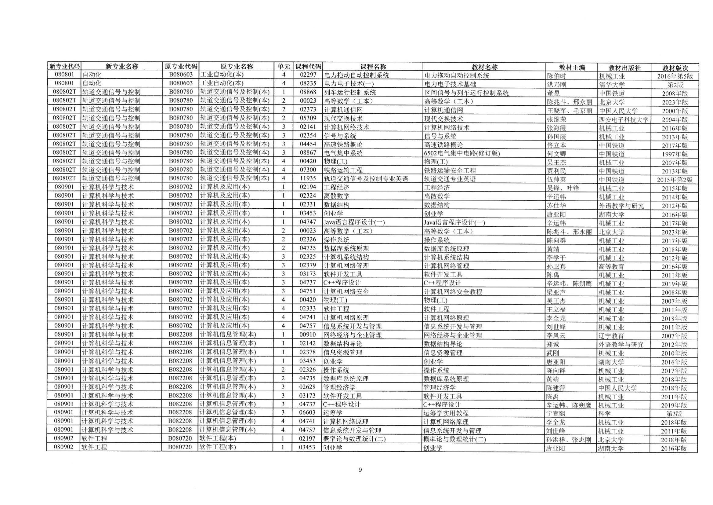
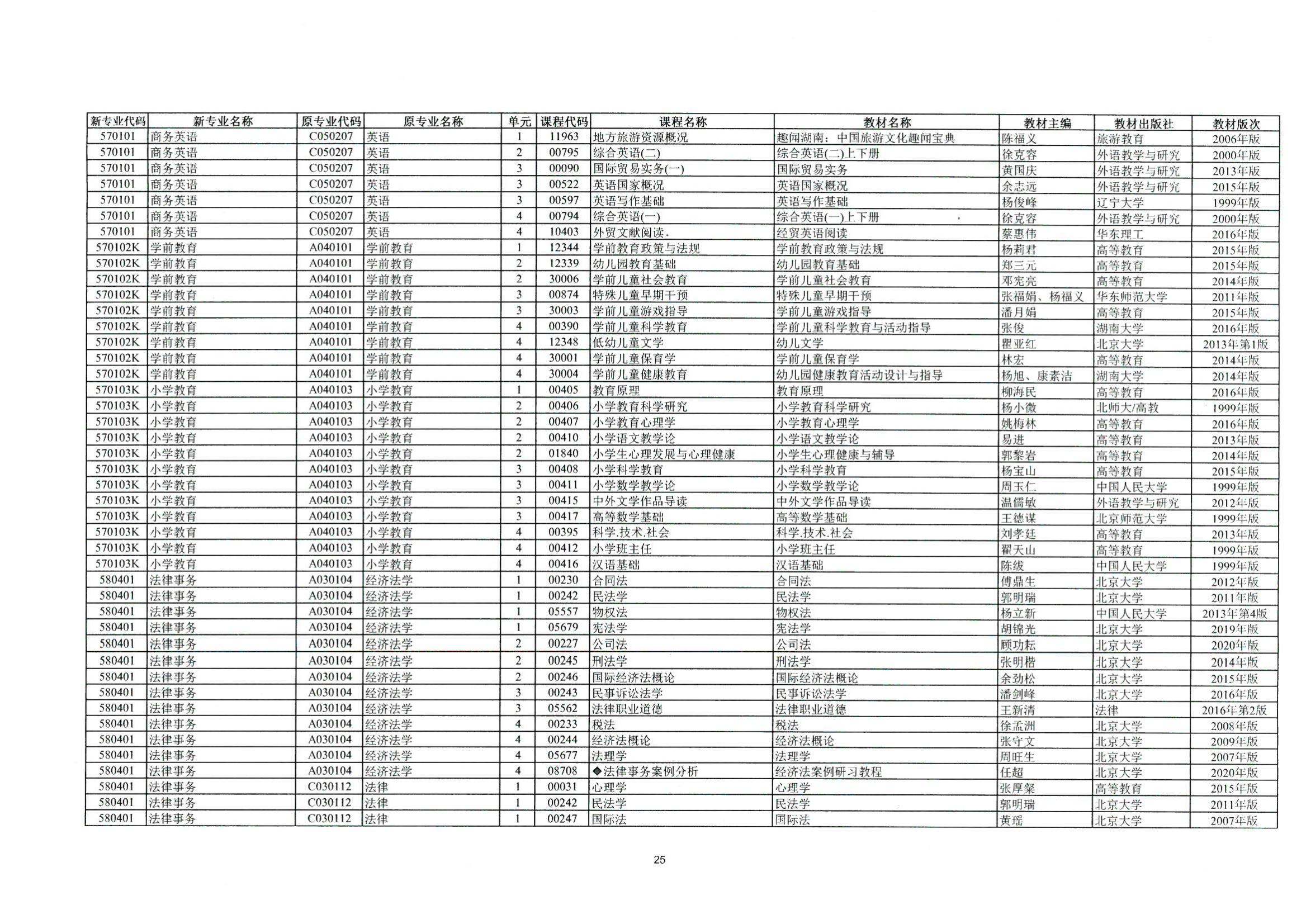
2023年10月全省高等教育自學考試共安排744門考試課程,其中包括22門實操設計類課程(課程名稱標注了”◆“的課程)。詳細內容見《2023年10月全省高等教育自學考試課程安排及教材目錄(含實操設計類課程)》(點擊下載附件)。其中,高等數學(工專)(00022)、高等數學(工本)(00023)、概率論與數理統計(經管類)(04183)和線性代數(經管類)(04184)啟用新大綱及教材。
三、上述考試課程安排及教材目錄將在湖南省高等教育自學考試自助服務系統(http://zikao.hneao.cn/net)中發布。目錄發布后如仍有因教材出版社斷供造成個別課程教材發生變更的,我院將在自助服務系統中另行發布變更通知。各有關單位要嚴格按照考試課程安排及指定教材版本組織教學,嚴格按照目錄指定的教材名稱、作者、出版社以及版次向考生供應教材,不得使用其他版本的教材及盜版教材。教材訂購事宜可聯系高等教育出版社等授權的北京培深文化有限公司長沙分公司,電話0731-82233191,地址:長沙市芙蓉區文藝路街道人民中路65號東二樓二層東側(湖南省建筑設計院內),也可通過其他渠道訂購。
各單位必須嚴格按照本通知要求,科學安排教學計劃,指導考生報考。實施過程中如發現問題,請及時與我院自考處聯系。電話號碼:0731-88090243
點擊查看:2023年10月湖南自考專業考試課程安排和指定教材調整及部分課程的指定教材版次更新的通知
點擊下方圖片即可查看原圖
↓↓↓
熱點推薦:各省市2023年自考考試安排匯總
- 熱門課程
- 報名咨詢
- 歷年試題
- 備考資料
































